Skip to Main Content

Benchmarks Overview

Ansys benchmarks provide comprehensive and fair comparative information concerning the performance of Ansys solvers on available hardware platforms. The benchmarks can be used to compare performance of different hardware platforms when running Ansys solvers. To accomplish this goal, Ansys provides the suite of simulation cases that make up the Ansys benchmark suite to its hardware partners for their use in benchmarking hardware performance; then the data is reported to Ansys and compiled for this site. Cases are selected to represent typical usage and cover a range of mesh sizes and physical models.

test

Rating

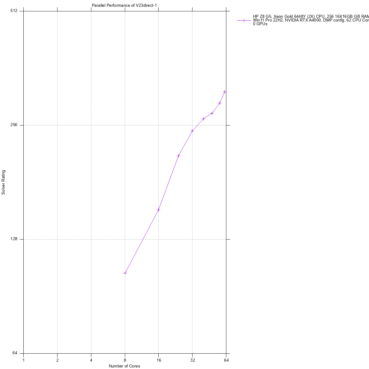
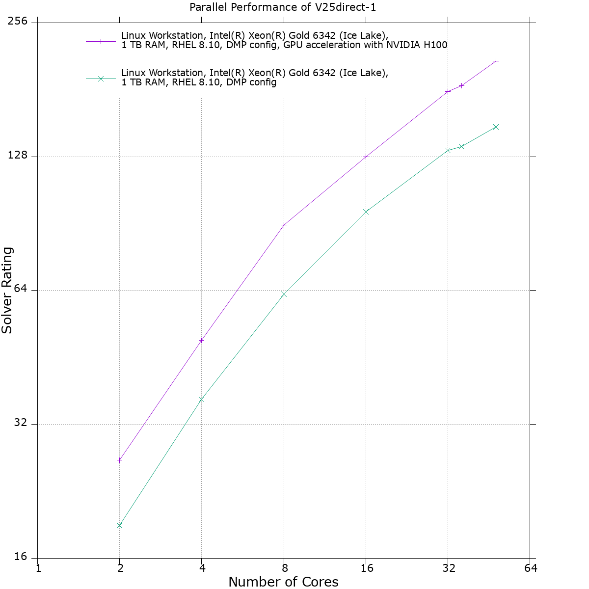
Rating is the primary metric used to report performance results of the benchmarks. It is defined as the number of benchmarks that can be run on a given machine (in sequence) in a 24 hour period. It is computed by dividing the number of seconds in a day (86400 seconds) by the number of seconds required to run the benchmark. A higher rating means faster performance.

Speedup

Speedup is the ratio of wall-clock time required to complete a given calculation using a single processor to that of the equivalent calculation performed on a concurrent machine. Its value ranges from 1 to the number of processors used for the parallel run. When the speedup is equal to the number of processors used, the speedup is called perfect or linear. Sometimes the speedup will exceed the number of processors. This is referred to as super-linear speedup, and is often caused by the availability and use of larger amounts of "fast" memory (e.g. cache or local memory) compared to the single processor run.

Efficiency

Efficiency is the speedup normalized by the number of processors used, presented as a percentage. It indicates the overall utilization of the CPUs during a parallel calculation. An efficiency of 100% indicates that each CPU is completely occupied with computation during the course of a run, and corresponds to a linear speedup. An efficiency of 60% indicates that each CPU is performing useful computation only 60% of the time. The remaining time is spent waiting for other functions, such as parallel communication or work on other processors, to complete.

MIUPS

MIUPS is a critical performance metric that measures a system’s computational efficiency by quantifying the number of iteration updates it can complete per second, in millions elements. This metric is especially relevant in high-performance computing (HPC), and scientific simulations, where iterative processes play a fundamental role in problem-solving. A higher MIUPS value signifies greater efficiency, enabling faster execution of computational tasks. By comparing MIUPS across different hardware configurations, users can evaluate the impact of processing power, memory bandwidth, and optimization techniques on iterative workloads.

MIUPS = case_size_in_million_cells / time_per_iteration

Los geht's

Wenn Sie mit technischen Herausforderungen konfrontiert sind, ist unser Team für Sie da. Mit unserer langjährigen Erfahrung und unserem Engagement für Innovation laden wir Sie ein, sich an uns zu wenden. Lassen Sie uns zusammenarbeiten, um Ihre technischen Hindernisse in Chancen für Wachstum und Erfolg zu verwandeln. Kontaktieren Sie uns noch heute, um das Gespräch zu beginnen.